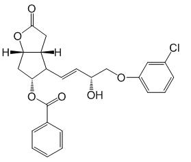
(3aR,5R,6aS)-4-((R,E)-4-(3-氯苯氧基)-3-羟基-1-丁烯基)-2-氧代六氢-2H-环戊并[b]-5-呋喃基苯甲酸酯|leimingzi|天泽恩源
返回主页
|
中文
|
ENGLISH
关于天恩药源
产品中心
设施条件
质量、EHS体系
人力资源
联系我们
企业简介 |
企业历史 |
发展方向 |
服务种类 |
新闻公告
中间体类 |
原料药类
研发中心 |
GMP车间
品质保障 |
质量监控 |
认证体系 |
关于环境、职业健康安全管理
招贤纳士 |
精彩TIEN
产品中心
中间体类
原料药类
前列腺素类
抗艾滋病类
其他
产品搜索
您现在的位置是:
首页
>
产品展示>
>
中间体类
>
产品中心
产品编号:
AI094-C
产品名称:
(3aR,5R,6aS)-4-((R,E)-4-(3-氯苯氧基)-3-羟基-1-丁烯基)-2-氧代六氢-2H-环戊并[b]-5-呋喃基苯甲酸酯
产品CAS:
178272-82-7
返回上一页
地址:天津武清国家高新技术开发区泉秀路. E-mail:sales@tienpharmachem.com
天泽恩源 版权所有 COPYRIGHT 2003-2010